
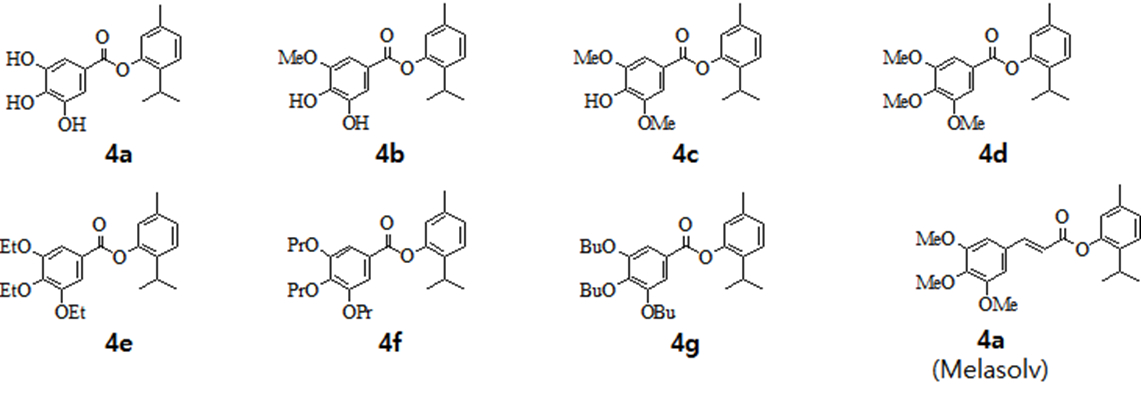
로도덴드롤은 구조적으로 보면 타이로신 유사 화합물이며 동시에 페놀 화합물입니다. 신규 미백제를 개발하려는 목적으로 티몰(Thymol)과 다양한 애씨드를 반응시켜 에스테르 화합물을 합성하고 미백 효능과 세포 독성을 확인하였습니다. 페놀 그룹을 가지고 있는 화합물은 미백 효과와 세포 독성을 동시에 나타냈습니다. 충분히 예상할 수 있는 결과입니다. 그런데, 페놀그룹을 가지고 있지 않은 화합물의 경우도 우수한 미백 효과를 나타내는 것을 발견하였습니다. . 더욱 특이한 건 미백 효과를 나타내면서도 세포 독성은 보이지 않는다는 것입니다. 페놀 그룹을 가지고 있지 않기 때문에 티로시나제 억제 효과도 라디칼 소거능도 보이지 않았습니다. 미백제는 두가지로 구분할 수 있습니다 페놀성 미백제와 비페놀성 미백제입니다.
|